Welcome

Selamat datang.........
Terima kasih atas kunjungan anda pada blog saya.........
Blog ini dibuat dengan tujuan mempermudah proses belajar mengajar di Jurusan Pendidikan Teknik Mesin Fakultas Teknik Universitas Negeri Manado.
Blog ini juga dibuat dengan tujuan melatih dan membiasakan mahasiswa Jur. Pend. Teknik Mesin FATEK UNIMA untuk menggunakan dan memperoleh informasi dari internet.
Semoga anda mendapatkan informasi yang diperlukan dalam blog ini.........

Akhir kata.........
Komentar dan saran anda akan membuat blog ini makin baik.

Cari Blog Ini

Perpindahan Kalor 1

Pertemuan 1
Energi Panas (Kalor)
       Suatu bentuk energi yang berhubungan dengan gerakan atom atau molekul.
       Ditransfer dari objek bersuhu tinggi ke objek bersuhu lebih rendah
       Energi Panas juga dinamakan energi thermal
Perpindahan Kalor
  • Hanya Terjadi bila ada perbedaan temperatur.
  • Aliran kalor makin cepat dengan makin tingginya perbedaan temperatur.
  • Selalu mengalir dari temperatur tinggi ke temperatur rendah.
  • Makin besar dengan makin besarnya luas penampang.
  • Beberapa material mentransfer panas lebih bagus dibandingkan material lain.
Perpindahan Kalor terjadi dalam  tiga cara :
  1.  Konduksi Kalor
  2.  Konveksi Kalor
  3.  Radiasi Kalor
Konduksi Kalor
Perpindahan kalor dimana energi panas mengalir dari bagian yang bertemperatur tinggi ke bagian yang bertemperatur lebih rendah dari suatu substansi (padat, cair atau gas) tanpa perpindahan molekul substansi tersebut, atau antara medium  medium yang berlainan yang bersinggungan secara langsung

Jika baja dipanaskan, maka energi kinetik molekul baja akan makin meningkat seiring dengan meningkatnya temperatur molekul itu akibat pemanasan yang dilakukan.  Dengan meningkatnya energi  kinetik molekul maka akan terjadi getaran pada molekul tersebut, sehingga terjadi transfer energi kinetik antara molekul yang bergetar dengan molekul didekatnya, akhirnya seluruh molekul pada baja tersebut akan bergetar seluruhnya. Jika energi kinetik molekul meningkat dengan sendirinya terjadi peningkatan temperatur pada molekul itu, inilah yang dinamakan rambatan kalor atau konduksi kalor.
Konduksi Kalor dinyatakan dengan : Hukum Fourrier


Dimana :
q            =   Laju perpindahan panas (W) (J)
A           =   Luas penampang dimana panas  mengalir (m2)
dt/dx     =   Perbedaan temperatur t  terhadap jarak dalam arah aliran  panas x
k                =    Konduktivitas thermal bahan (W/moC)

Konduktivitas Panas
Konduktivitas panas dari suatu material  menggambarkan kemampuan suatu material untuk mentransfer panas.

 
Konveksi Kalor
Adalah transport energi dengan kerja gabungan dari konduksi panas, penyimpanan, energi dan gerakan mencampur. Proses terjadi pada permukaan padat (lebih panas atau dingin) terhadap cairan atau gas (lebih dingin atau panas).
  
Persamaan Konveksi Kalor :
 Radiasi Kalor
  • Radiasi adalah transfer energi panas secara gelombang electromagnetic.
  • Radiasi panas  adalah gelombang electromagnetic (termasuk cahaya) yang dihasilkan oleh objek karena temperaturnya.
  • Makin tinggi Temperatur dari suatu objek, makin banyak radiasi termal yang dihasilkan oleh suatu objek.
 Persamaan Stefan-Boltzmann untuk Radiasi :


Pertemuan 2
Konduksi Kalor
  1. Konduksi kalor pada keadaan tetap (steady state)
·         Konduksi Kalor melalui Dinding Datar
·         Konduksi Kalor melalui sistim radial: silinder dan bola
·         Koeffisien perpindahan panas menyeluruh.
  1. Konduksi kalor pada keadaan tidak tetap (unsteady state)
Konduksi kalor pada keadaan tetap
Dinding datar
 Dari Hukum Fourier akan didapat :
 
 jika persamaan ini diintegrasikan akan menjadi :
inilah persamaan untuk sebuah dinding datar

Dalam konduksi kalor dikenal juga apa yang dinamakan dengan konsep tahanan termal, dimana pada konsep ini aliran kalor dianalogikan sama dengan aliran listrik sehingga prinsip hukum Ohm dapat diterapkan dalam aliran kalor. Laju perpindahan kalor dapat dianggap sebagai arus aliran, beda suhu dianggap sebagai beda potensial sedangkan konduktivitas panas dan tebal bahan dianggap sebagai tahanan terhadap arus aliran. Dan persamaan Fourier dapat ditulis :
 jika, 
Sehingga tahanan termal adalah :
Dinding datar berlapis.
Jika dalam suatu sistim terdapat lebih dari satu lapisan dinding yang terbuat dari bahan yang berbeda, maka analisa konduksi kalor akan menjadi :
Laju perpindahan kalor pada lapisan A
 Laju perpindahan kalor pada lapisan B
 Laju perpindahan kalor pada lapisan C
Aliran kalor pada ketiga lapisan ini adalah sama dan pada kasus ini dianggap luas permukaan penerima panas dari ketiga lapisan ini adalah sama. Jika ketiga persamaan diatas dijumlahkan akan dihasilkan :
Dan konsep tahanan termalnya menjadi :

 Konduksi pada sistim radial.
Perhatikan gambar suatu silinder dengan panjang L dan radius bagian dalam r0 , radius luar r1 . Temperatur bagian dalam silinder t0 dan bagian luar t1, sehingga beda temperatur adalah t1 - t0 . Barapakah aliran kalor yang terjadi ?
 Diasumsikan kalor mengalir pada arah radial, luas bidang aliran kalor dalam sistim silinder ini adalah :
dari  hukum Fourier diketahui :
Luas bidang aliran kalor  Ar disubtitusikan ke dalam persamaan diatas, sehingga menjadi :
Jika persamaan terahir diintegrasikan dengan kondisi batas t = t0 pada r = r0 ,
dan t = t1 pada r = r1 , akan menghasilkan :
sedangkan tahanan termal dari persamaan ini adalah :
Sehingga konsep tahanan termal dapat ditulis : 

Untuk analisa silinder yang mempunyai lebih dari satu dinding, dapat digunakan konsep tahanan termal. Sekarang diandaikan suatu dinding silinder dilapisi oleh dua lapisan isolasi untuk mencegah kalor keluar ataupun masuk seperti pada gambar di bawah ini.

Persamaan Fourier untuk kasus ini dapat ditulis  :
Dari persamaan diatas dapat kita lihat bahwa tahanan termal ( R ) untuk ketiga lapisan dinding masing masing adalah :
Sehingga Konsep tahanan termal untuk kasus ini adalah sbb :


Koefisien perpindahan kalor menyeluruh ( Overall Heat Transfer Coefficient ).

Pada uraian sebelumnya telah dibahas tentang konduksi kalor pada keadaan tetap. Pada kenyataannya transfer kalor konduksi selalu diawali dengan proses konveksi dan diakhiri dengan proses konveksi pula. Sangatlah jarang proses konduksi terjadi tanpa diawali  dan diakhiri dengan proses konveksi. Perhatikan transfer kalor yang terjadi pada suatu dinding datar seperti gambar dibawah ini.
Sisi kiri terdapat fluida panas dan sisi kanan terdapat fluida dingin. Pada sisi kiri terjadi transfer kalor secara konveksi dari fluida panas ke permukaan dinding sebelah kiri akibatnya permukaan dinding sebelah kiri menjadi lebih tinggi temperaturnya dari permukaan dinding sebelah kanan. Karena adanya perbedaan temperatur pada permukaan kanan dan kiri terjadilah transfer panas secara konduksi dari permukaan kiri ke permukaan kanan. Dengan adanya transfer panas dari permukaan kiri ke permukaan kanan menyebabkan temperatur permukaan kanan menjadi lebih panas dari fluida yang ada si sebelah kanan, sehingga terjadilah transfer kalor secara konveksi dari permukaan dinding sebelah kanan ke fluida yang berada disampingnya.
Aliran kalor yang terjadi dari fluida panas ke permukaan dinding sebelah kiri adalah

Aliran kalor dari permukaan dinding kiri ke permukaan dinding kanan adalah
Aliran kalor dari permukaan dinding kanan ke fluida di sebelah kanan yang dingin adalah

Jika ketiga persamaan diatas dijumlahkan pada arah temperatur maka akan menjadi :
Kita ketahui bahwa qA  =  qB  =  qC  = q  dan  AA  =  AB  =  AC  = A. 
Sehingga 
Maka Aliran kalor dari fluida kiri ke fluida kanan dapat ditulis sbb :
Aliran kalor dari fluida kiri ke fluida kanan adalah hasil gabungan dari proses konduksi dan konveksi boleh dinyatakan dengan koefisien perpindahan kalor menyeluruh U, yang dirumuskan dalam hubungan






Jika disesuaikan dengan persamaan sebelumnya, koefisien perpindahan kalor menyeluruh adalah


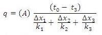
Koefisien perpindahan kalor menyeluruh untuk sebuah pipa dapat pula ditemukan seperti cara diatas tadi. Perlu diperhatikan bahwa luas permukaan yang menerima kalor pada pipa tidaklah sama untuk ke dua fluida, fluida yang satu luas permukaannya didasarkan pada permukaan dalam pipa dan fluida yang lain didasarkan pada permukaan luar pipa seperti pada gambar.



A     = Transfer kalor secara konveksi dari fluida dalam pipa ke permukaan bagian dalam pipa
B     = Transfer kalor secara konduksi dari permukaan bagian dalam ke permukaan bagian luar pipa
C     =  Transfer kalor secara konveksi dari permukaan bagian luar pipa ke udara fluida yang berada di sekitar pipa.
t0    =  Temperatur fluida dalam pipa
t1    =  Temperatur permukaan bagian dalam pipa
t2    = Temperatur permukaan bagian luar pipa
t3    =  Temperatur fluida di luar pipa
L     = Panjang pipa
r0    =  Jari jari bagian dalam pipa
r1    =  Jari jari bagian luar pipa

Aliran kalor yang terjadi dari fluida ke permukaan bagian dalam pipa adalah


Aliran kalor dari permukaan bagian dalam ke permukaan bagian luar adalah


Aliran kalor dari permukaan bagian luar ke fluida di sekeliling pipa adalah


Jika ketiga persamaan diatas dijumlahkan pada arah temperatur maka akan menjadi :


Karena  qA  =  qB  =  qC  = q , maka :


Dimana A0 adalah luas permukaan penerima kalor bagian dalam pipa dan A1 adalah luas permukaan penerima kalor permukaan luar, sehingga koefisien perpindahan kalor menyeluruh untuk pipa dapat ditulis 
 
Karena luas permukaan penerima kalor berbeda pada bagian dalam dan luar pipa maka koefisien perpindahan kalor menyeluruh dapat didasarkan pada permukaan luar ataupun permukaan dalam dari pipa.
Tebal kritis Isolasi
Sekarang perhatikan suatu lapisan isolasi yang dipasang pada pipa, seperti pada gambar di bawah ini.
Temperatur permukaan bagian dalam isolasi t1, sedangkan temperatur permukaan luar isolasi t2 dan temperatur fluida luar adalah t3. Persamaan untuk aliran kalor pada isolasi adalah :
Sekarang kita olah persamaan ini untuk menentukan jari jari permukaan luar isolasi r3 agar perpindahan kalor maksimum. Kondisi maksimum adalah :
Yang menghasilkan
 
Persamaan terakhir ini adalah persamaan untuk jari jari kritis isolasi. Jika jari jari luar kurang dari nilai yang diberikan oleh persamaan ini maka perpindahan kalor akan meningkat dengan penambahan tebal isolasi. Untuk jari jari luar yang lebih dari nilai persamaan ini, pertambahan tebal isolasi akan mengurangi perpindahan kalor yang terjadi. Konsep intinya adalah bahwa untuk nilai h yang cukup kecil, rugi kalor konveksi mungkin meningkat karena penambahan tebal isolasi.















Konduksi kalor pada keadaan Titak Tetap

                                        KONDUKSI PANAS PADA KEADAAN TIDAK TETAP Jika laju aliran panas dan suhu pada setiap titik dari suat...